生态系统的稳定性和动态变化一直是生态学研究的核心议题。在宏观世界中,森林、湖泊等生态系统在面临扰动时可能突然崩?;蜃蛔刺?,这种现象背后的机制在微观的 ...
欢迎来到BioSense网站!
生态系统的稳定性和动态变化一直是生态学研究的核心议题。在宏观世界中,森林、湖泊等生态系统在面临扰动时可能突然崩?;蜃蛔刺?,这种现象背后的机制在微观的 ...
本研究通过建立宫颈癌OE-KLK5细胞皮下移植瘤裸鼠模型,探讨KLK5过表达对皮下移植瘤生长及化疗敏感性的影响,结果显示:KLK5过表达能促进宫颈癌裸 ...
收集裸鼠瘤体,置于4%多聚甲醛中固定24 h后,进行梯度乙醇脱水、二甲苯透明、浸蜡和石蜡包埋后制成切片。石蜡切片经过脱蜡水化后,采用HE染色试剂盒进行 ...
目的探讨激肽释放酶5(KLK5)过表达对宫颈癌细胞的增殖、侵袭及顺铂(DDP)敏感性的影响,并阐明其作用机制。方法采用Western blotting ...
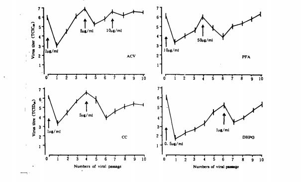
?提要单纯疱疹病毒(HSV)与药物共同培养,传数代后,对单一抗病毒药物无环鸟苷(ACV)、环胞苷(CC)、丙氧鸟苷(DHPG)和膦羧基甲酸钠(PFA) ...
本研究成功构建gr基因缺失株△gr。与溶藻弧菌野生株HY9901比较,该缺失株对四环素、克林霉素和呋喃唑酮等耐药性减弱,生物膜形成能力显著增强,胞外蛋 ...
使用丹麦Biosense微生物生长动态监测系统测定溶藻弧菌野生株HY9901和缺失株△gr的生长曲线。将过夜培养的菌液用新鲜TSB培养基稀释至初始OD ...
通过同源重组技术和Overlap PCR等分子生物学手段构建溶藻弧菌HY9901的gr基因缺失株,通过反转录验证并检测其遗传稳定性,绘制该菌的野生株和 ...
本研究通过接种SVCV病毒,检测细胞凋亡、CPE观察、病毒粒子观察,发现SVCV能够很好地在GCO细胞内增殖,出现明显的病变。与其他已知的SVCV易感 ...
GCO细胞系是从草鱼性腺组织分离建立的连续细胞系,呈上皮样形态,细胞间存在接触抑制,无重叠生长(图1)。从GCO细胞的生长曲线(图2)可以看出,25℃ ...