单纯疱疹病毒对眼科常用抗病毒药物的耐药性研究
提要单纯疱疹病毒(HSV)与药物共同培养,传数代后,对单一抗病毒药物无环鸟苷(ACV)、环胞苷(CC)、丙氧鸟苷(DHPG)和膦羧基甲酸钠(PFA)均可产生耐药性,但耐药性产生的时间和程度各有不同。联合用药可延缓并减少病毒耐药株的发生,同时可降低用药浓度和剂量,从而减少毒性反应。不同耐药株的交叉药敏试验结果为临床合理用药提供了实验依据。
交叉药敏试验抗病毒药物用于眼科临床已有三十年,耐药病毒株的出现对疱疹病毒感染的有效治疗构成了威胁。故对耐药株产生规律及其交叉耐药性的研究非常必要。本文研究了单纯疱疹病毒(Herpes simplex virus,HSV)对眼科常用抗病毒药物无环鸟苷(ACV)、环胞苷(CC)、丙氧鸟苷(DHPG)和膦羧基甲酸钠(PFA)的耐药性,并了解HSV对耐药株产生的规律和交叉耐药性形成的影响,以指导对耐药性HSV感染的临床治疗。
材料与方法
药物一.实验用ACV和DHPG:湖北医药工业研究所提供;CC和PFA:上海第十二制药厂生产。ACV,CC和DHPG分别用Hank's液配成0.1%溶液,PFA配成1%溶液,pH调至7.0,100℃煮沸30min消毒后,-20℃冰箱保存备用。实验时以Eagle's液稀释至所需浓度。
二.病毒与细胞实验用HSV-1kos株和非洲绿猴肾细胞(Vero)均由中国预防医学科学院病毒所供给。病毒在本实验室用Vero细胞传代,毒力106-7TCID50,-20℃保存备用。
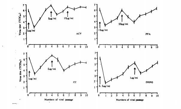
三.耐药株的培育将HSV-1kos株病毒液与不同浓度药物ACV,CC,DHPG和PFA同时接种于细胞管中,37℃培养,待细胞出现病变(CPE)后,收集病毒液,再与药物共同培养,如此反复传代,直至病毒在药物浓度下能正常生长,即获得耐药株。
四.药物敏感性测定采用细胞病变抑制法(CPE)测定药物对HSV-1kos株和耐药株的敏感性。将不同浓度药物与病毒同时接种于细胞管中,37℃培养,观察细胞病变,以能抑制50%细胞病变的药物浓度(IC50)作为药物敏感性指标。
五.联合用药实验将两种不同作用机制的抗病毒药物按不同比例混合,测定其对HSV-1kos株的IC50,并计算联合指数(CI),以判断两药联合应用的效果。
结果
一.耐药株的培育结果HSV-1kos株与不同浓度药物共同培养,传代后,对ACV,CC,DHPG和PFA均可产生耐药性,但耐药性产生的时间和程度各有不同。ACV和DHPG耐药株产生较快,传代3~4次即可获得;CC和PFA耐药株产生较慢,需传代5~6次以上。耐药株的IC50较亲代株提高10~100倍。
二.交叉耐药性测定结果ACV耐药株对DHPG和CC均表现交叉耐药性,但对PFA仍敏感;CC耐药株对ACV和DHPG表现交叉耐药性,但对PFA仍敏感;DHPG耐药株对ACV和CC均表现交叉耐药性,但对PFA仍敏感;PFA耐药株对ACV,CC和DHPG均表现交叉耐药性。
三.联合用药实验结果ACV与PFA联合应用,对HSV-1kos株的抑制作用明显增强,联合指数(CI)小于1,表明两药有协同作用;ACV与CC联合应用,联合指数(CI)大于1,表明两药有拮抗作用;CC与PFA联合应用,联合指数(CI)接近1,表明两药有相加作用。
讨论
本文结果表明,HSV对单一抗病毒药物ACV,CC,DHPG和PFA均可产生耐药性,但耐药性产生的时间和程度各有不同。ACV和DHPG耐药株产生较快,CC和PFA耐药株产生较慢。这可能与药物的作用机制有关。ACV和DHPG均为核苷类似物,通过抑制病毒DNA聚合酶而发挥作用;CC为嘧啶核苷类似物,通过抑制病毒DNA合成而发挥作用;PFA为非核苷类化合物,通过直接抑制病毒DNA聚合酶而发挥作用。不同作用机制的药物,其耐药株产生的难易程度不同。
交叉耐药性测定结果表明,ACV,CC和DHPG耐药株之间均存在交叉耐药性,但对PFA仍敏感;PFA耐药株对ACV,CC和DHPG均表现交叉耐药性。这提示临床治疗中,对ACV,CC或DHPG耐药的患者,可换用PFA治疗;对PFA耐药的患者,换用ACV,CC或DHPG治疗可能无效。
联合用药实验结果表明,ACV与PFA联合应用有协同作用,可增强抗病毒效果,延缓耐药株的产生;ACV与CC联合应用有拮抗作用,不宜联合应用;CC与PFA联合应用有相加作用,可考虑联合应用。这为临床合理用药提供了实验依据。
综上所述,HSV对常用抗病毒药物均可产生耐药性,联合用药可延缓并减少耐药株的发生,同时可降低用药浓度和剂量,减少毒性反应。不同耐药株的交叉药敏试验结果为临床合理用药提供了实验依据。
相关新闻推荐
1、甘露聚糖对S.cerevisiae酵母菌株生长及抗氧化活性的影响(二)
2、大肠埃希菌的菌落数范围、贮藏条件、活性及性状的稳定性【实验】
