益生菌菌株生长与来自不同来源的果聚糖的聚合程度和结构相关
研究简介:果聚糖作为益生元,对健康有益,因此是功能食品行业的重要因素。益生元被定义为不可消化的食品成分,通过选择性刺激结肠中一种或有限数量细菌的生长和/或活性,从而有益于宿主,从而改善宿主健康。果糖是无支链或支链果糖寡聚体或聚合物,主要以β-2,1和β-2,6-连接的混合型,对于人类的肠道来说是不可消化的。研究人员应用制备色谱法将菊苣的直链菊粉型(β-2,1连接)果聚糖和龙舌兰的支链混合型(β-2,1和β-2,6连接)果聚糖分离成具有不同DPS的馏分,并结合使用Bioscreen全自动生长曲线分析仪确定了所选益生菌菌株的生长曲线。通过获得的生长曲线证实了所有果聚糖(不论是较高的dp和较低的分支度)都表现出显着的生长促进作用。嗜酸乳杆菌和副干酪乳杆菌CRL431快速使用了与dp无关的馏分,而其他菌株(即路氏乳杆菌))不使用或仅缓慢使用高dp分数。大多数菌株将果聚糖裂解为较小的单位,然后摄入细胞。该研究发现可能对改进益生元制剂的开发做出重大贡献。
应用Bioscreen全自动生长曲线分析仪研究不同类型的益生菌在不同聚合度的果糖生长曲线,益生菌的生长曲线是使用Bioscreen全自动生长曲线分析仪根据浊度测量(OD600)得出的。首先制备新鲜的过夜培养物并测定细胞密度。计算最终开始的OD600为(0.1)的单元数量值。将益生菌放在补充有0.5 g/L半胱氨酸盐酸盐的PBS中洗涤3次,然后重悬于无碳水化合物来源的MRS-培养基中。阴性对照在无糖的条件下孵育,样品在Bioscreen蜂窝板中以1%碳水化合物存在,最终体积为200μL。将Bioscreen蜂窝板在37°C下培养48小时,摇匀15秒后每小时测一次OD600。所有样品均以不同浓度一式三份进行测试,计算平均值并绘制出相关生长曲线图。
实验结果:菊苣菊酯型果聚糖和龙舌兰混合果聚糖对7个益生菌菌株的浊度测定和对其在琼脂板上培养确证显示出明显的益生作用。较低聚合度和/或明显分支特性的果聚糖增加了益生菌的生长。这也说明确定生长诱导的动力学很重要,因为低和高聚合度(dp)的果聚糖组合可能更适用于快速诱导益生菌的生长,但是要持续到远端结肠区域。菊粉型直链果聚糖通常在细胞外裂解为单糖或双糖在发酵之前,混合型果聚糖被一些益生菌吸收并在细胞内裂解。细胞内裂解是优选的,因为只有相应的益生菌才可以使用果聚糖源。在细胞外切割的情况下,形成的单糖和二糖也可以被其他菌株使用。
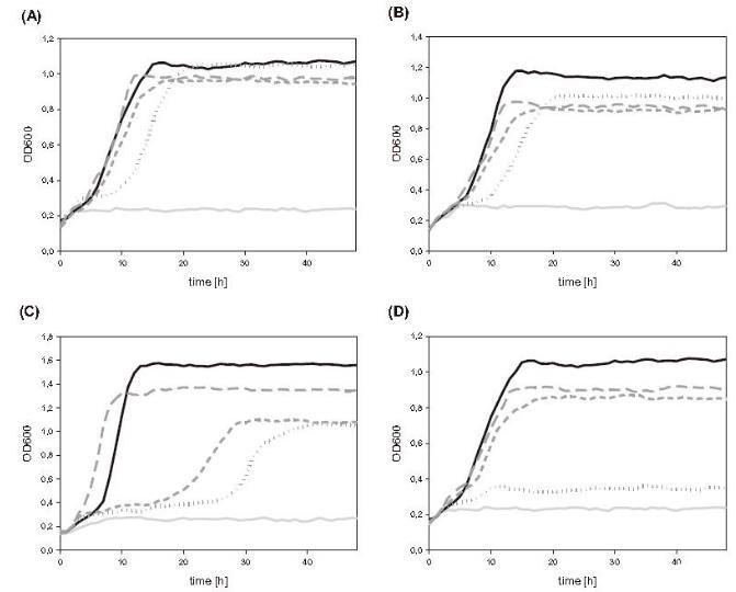
图1。(A)副干酪乳杆菌SSP的生长曲线。副干酪乳杆菌CRL431,(B)嗜酸乳杆菌(C)鼠李糖乳杆菌GG,(D)罗伊氏乳杆菌,(E)副干酪乳杆菌ssp和副干酪乳杆菌DSM 20312,(F)动物双歧杆菌,和(G)副干酪乳杆菌亚种。在无糖(对照)0.5%果糖和0.5%来自不同聚合度dp的龙舌兰果聚糖馏分中的生长情况。从图中可看出所有施用的果聚糖在所有测试菌株上均显示出显着的生长增强,差异取决于益生菌菌株以及果聚糖的分子结构和果糖的聚合度(dp)。通常dp越低,益生菌的诱导生长越快。
图2、(A)副干酪乳杆菌ssp和副干酪乳杆菌CRL431,(B)嗜酸乳杆菌,(C)鼠李糖乳杆菌GG,(D)罗伊氏乳杆菌,(E)副干酪乳杆菌ssp和副干酪乳杆菌DSM 20312,(F)动物双歧杆菌,和(G)副干酪乳杆菌亚种和副干酪DN114001在没有糖(对照),0.5%的存在果糖和0.5%从具有不同的聚合度菊粉中的生长曲线。从图中可以看出,在所有5种菊粉组分的存在下,嗜酸乳杆菌生长良好。而鼠李糖乳杆菌GG可以使用所有菊粉,但是菊粉来源的使用高度依赖于dp。
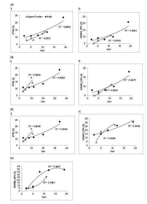
图3、(A)益生菌达到最大OD 600值一半的时间[h]等于中等有效时间ET 50[h];所有样品的最终浓度为0.5%(n=3)。(B)时间[h],与果糖相比,此时间后最大OD 600值增加20%(n=3)。从图表中可以看出对于所有益生菌菌株,达到葡萄糖最大半数OD 600的时间(ET 50)最低(3至9小时),其次是果糖(5至11小时)。
图4。聚合度(dp n)与生长促进的相关性:(A)嗜酸乳杆菌,(B)副干酪乳杆菌。副干酪乳杆菌CRL431,(C)鼠李糖乳杆菌GG和(D)副干酪乳杆菌ssp和副干酪乳杆菌DSM 20312(i)聚合度(dp n)和ET 50的相关性;(ii)果糖存在下dp n与最大OD 600值增加20%的时间相关性?;疑踩Υ砹嗬脊厶?,黑色菱形代表菊粉果类型的果聚糖。
图5、益生菌对低聚果糖的降解可达dp(10)值:(A)副干酪乳杆菌ssp和副干酪乳杆菌CRL431,(B)嗜酸乳杆菌,(C)鼠李糖乳杆菌GG,(D)罗伊氏乳杆菌,(E)副干酪乳杆菌ssp。副干酪乳杆菌DSM 20312,(F)动物双歧杆菌,和(G)副干酪乳杆菌亚种和副干酪乳杆菌亚种DN114001。Raftiline®和Raftilose®可以确定所有降解模式。然而对于Metlos®,只有少数模式可以量化,而对于Metlin®,由于分支结构,样品根本无法量化。
总结:果糖作为益生元,因其对健康的有益作用,是功能食品行业的重要因素。然而到目前为止,尚未完全阐明结构和聚合度(dp)对其益生元作用的影响。本论文的研究人员通过对果聚糖降解模式的阐明有助于解释益生菌使用具有不同dp的果聚糖的能力。研究人员使用全自动生长曲线分析仪Bioscreen获得选择的益生菌菌株在非支链菊苣菊粉和龙舌兰果聚糖的不同dps样品中的生长曲线,获得了益生菌的生长曲线图进一步证实了所有果聚糖(不论是较高的dp和较低的分支度)都表现出对益生菌的显著生长促进作用。研究发现嗜酸乳杆菌和副干酪乳杆菌CRL431快速使用了与dp无关的馏分,而其他菌株(即路氏乳杆菌)不使用或仅缓慢使用高dp分数。大多数菌株将果聚糖裂解为较小的单位,然后摄入细胞。该研究发现可能对改进益生元制剂的开发做出重大贡献。这也说明全自动生长曲线分析仪在食品研发方面具有非常好的应用前景。
芬兰Bioscreen全自动微生物生长曲线分析仪
相关新闻推荐
2、胶滴肿瘤药敏检测技术检测及评价不同药物浓度的5'-DFUR对胃癌的疗效(一)
3、PlcR在炭疽芽胞杆菌A16R中对其生长状态、溶血酶活性及神经磷脂酶活性影响(一)
