黑曲霉分生孢子在不同成熟阶段的复杂性和异质性研究
研究背景:黑曲霉是一种广泛存在的真菌,具有很强的适应性和生存能力。它们的分生孢子是其无性繁殖的主要结构,这些孢子在空气中非常丰富,对人类健康和生态系统都有重要影响。黑曲霉的分生孢子形成过程包括营养生长后,特殊的气生菌丝分化为分生孢子载体,这些载体延伸到空气中并形成孢子链。尽管黑曲霉的分生孢子在生态系统中具有重要作用,但其成熟过程中的特性变化尚不清楚。本研究探讨了这些无性生殖结构上分生孢子的成熟过程。在分生孢子载体上发育了2天、5天和8天的色素化分生孢子对热的耐受性相似,并且通过二氧化碳释放和代谢探针Tempone的转化显示出代谢活性。当2天的分生孢子与5天和8天的孢子相比较时,有645-2421个基因的表达发生了2倍的变化。与较老的孢子相比,2天的分生孢子的细胞壁中更容易提取黑色素。此外,2天的分生孢子的甘露醇含量和萌发率更高。8天的分生孢子通过水分散的效率较低,但在风和疏水移动物体的分散方面没有观察到差异。这些数据以及在实验中只有少数分生孢子被分散的事实表明,黑曲霉的一个菌落释放出的分生孢子是异质性的。这种异质性在环境条件迅速变化的环境中(例如水的可用性)会提供选择性优势。
丹麦Biosense微生物生长动态监测系统的应用
将10?个分生孢子稀释至5×10?个孢子/毫升的浓度,接种于含有25 mM麦芽糖的转化培养基(TM)中。扫描区域长度设置为2205微米,扫描区域大小设置为70-700像素,最大物体数量设置为1000。从接种后2小时开始扫描,每小时扫描一次,直到微菌落开始覆盖休眠或萌发的孢子。oCelloScope能够实时监测黑曲霉分生孢子的萌发过程,包括孢子的膨胀、萌发和菌丝生长。通过分析孢子的表面积和圆度变化,oCelloScope可以将孢子精确分类为休眠孢子、肿胀孢子、萌发孢子和菌丝,从而提供详细的萌发动态数据。提供了孢子萌发的动态图像,还生成了详细的数值数据,包括孢子的表面积、圆度等参数,为研究孢子萌发机制提供了丰富的信息。
实验结论
通过一系列实验,深入探讨了黑曲霉(Aspergillus niger)分生孢子在分生孢子载体上的成熟过程,揭示了分生孢子在不同成熟阶段的特性变化及其生态意义。通过比较2天、5天和8天的分生孢子,发现有645-2421个基因表达发生了2倍以上的改变。其中,许多上调基因的功能未知,而下调基因多与代谢和生物合成过程相关。所有测试的分生孢子都显示出代谢活性,通过PDT的电子自旋共振(ESR)信号强度降低和CO2释放来证实。2天的分生孢子更容易提取黑色素,而甘露醇含量和萌发率在2天的分生孢子中更高。8天的分生孢子通过水分散的效率较低,但在风和昆虫传播方面没有观察到差异。2天的分生孢子萌发速度更快,而5天和8天的分生孢子萌发速度较慢。热处理(55°C,5分钟)减缓了所有分生孢子的萌发速度,但没有观察到不同成熟阶段的分生孢子在热抗性上的差异。
图1、黑曲霉2日龄、5日龄和8日龄分生孢子中海藻糖(浅灰色阴影)、甘露醇(深灰色阴影)和甘油(黑色阴影)的量(pg分生孢子)。误差线表示技术和生物学重复的标准差
图2、用盐水吐温(深灰色阴影)和NaOH(浅灰色阴影)提取的2日龄、5日龄和8日龄的黑曲霉分生孢子的黑色素量(A)以及2-(管2)、5-(管3)和8日龄(管4)分生孢子的色素沉着用水和NaOH提取后,未提取的2日龄分生孢子作为对照(管1)(B)。(C)显示了管2和4提取的孢子颗粒的放大倍数。对比度和亮度也同样增加。误差线表示生物重复的标准差。
图3、PDT的减少表明黑曲霉2、5和8日龄分生孢子的代谢活性。(A)在分生孢子存在下,t=0(上层)和t=30 min(下层)时1 mM PDT的ESR谱图。高?。ㄓ遥┫撸℉)的高度用于量化PDT。(B)Hheight在2日龄(正方形)、5日(圆)和8(三角形)分生孢子中的减少。使用热灭活2日龄的分生孢子作为对照(三角形O)。误差线代表生物重复的标准差,r.u.是相对单位。
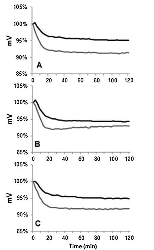
图4、在2-(A)、5(B)和8-(C)日龄生物重复分生孢子的情况下,表明代谢活性的CO2水平增加,通过CO2传感器电压(mV)的降低进行监测。
图5、在培养基中孵育2-6小时后,2-(A)、5-(B)和8-(C)日龄孢子的大小分布。条形代表静止分生孢子(21-42升,无阴影条)、肿胀的分生孢子(42-76升,浅灰色条)、发芽分生孢子(76-106升深灰色条)和菌丝生长(106-212升,黑色条)。由2日龄分生孢子(条纹线)、5日龄(虚线)和8日龄分生孢子产生的所有物体的平均大?。―)。
总结
本论文主要就黑曲霉(Aspergillus niger)分生孢子在分生孢子载体上的成熟过程进行研究,旨在揭示分生孢子在不同成熟阶段的特性变化及其生态意义。黑曲霉是一种广泛分布的真菌,其分生孢子在空气中极为丰富,对生态系统和人类健康具有重要影响。研究通过一系列实验,探讨了分生孢子在基因表达、代谢活性、细胞壁成分、水分分散效率和萌发率等方面的变化。oCelloScope在本研究中发挥了重要的作用,oCelloScope能够实时监测黑曲霉分生孢子的萌发过程,包括孢子的膨胀、萌发和菌丝生长,它不仅提高了孢子萌发监测的效率和准确性,还为研究孢子萌发机制提供了丰富的数据支持。研究通过详细的实验和分析,揭示了黑曲霉分生孢子成熟过程中的复杂性和异质性,为理解这种真菌的生态适应性和生存策略提供了新的视角。同时,研究结果也为进一步探索黑曲霉的基因调控和代谢机制提供了基础。
相关新闻推荐
1、肌苷对酸土脂环酸芽孢杆菌的生长抑制效果、对橙汁品质影响——摘要、材料与方法
3、根际溶磷菌对牧草品种扁穗雀麦生长促进作用的机理——材料和方法、结果与分析
