鸡印第安纳株沙门菌生长、致病性及药物敏感性研究(三)
2.2细菌生长曲线测定
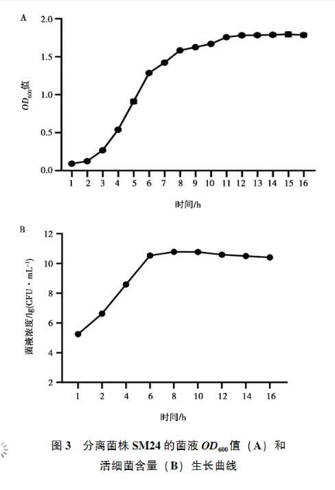
分离株在LB培养基中的生长曲线如图3所示,SM24在培养2 h后即进入对数生长期,在3~6 h细菌增殖速度最快,从8 h开始生长逐渐减缓,进入稳定期;培养12 h后菌液OD600值不再增加,活细菌含量缓慢下降,细菌生长进入衰退期。说明分离菌株SM24在LB培养基中生长良好,具有典型的细菌生长曲线。
图3分离菌株SM24的菌液OD600值(A)和活细菌含量(B)生长曲线
2.3毒力测定
SM24分离株不同剂量对3日龄SPF雏鸡进行攻毒,1.5×107 CFU攻毒组雏鸡在5 d内全部死亡,1.5×106 CFU组死亡5只,1.5×105 CFU组死亡2只,其他接种组无死亡,对照组雏鸡状态良好。表明分离株对雏鸡具有致病性,经Probit回归计算SM24的LD50为8.50×105 CFU。
2.4耐药性检测
分离株SM24的药物敏感性测定结果如表2所示,SM24对大观霉素、阿米卡星、氯霉素、氟苯尼考、亚胺培南和多黏菌素B这6种抗生素敏感;对呋喃唑酮中介;对青霉素类(氨苄西林、阿莫西林)、头孢菌素类(头孢氨苄、头孢噻肟、头孢曲松)、喹诺酮类(恩诺沙星、环丙沙星、左氧氟沙星)、四环素类(多西环素、四环素)、磺胺类(复方新诺明、甲氧苄啶)以及新霉素、庆大霉素、阿奇霉素和氨曲南这16种抗生素表现耐药。以上结果说明分离株SM24属于多重耐药性菌株,抗生素耐药谱极广。
表2分离菌株药物敏感性检测结果
2.5全基因组测序
对分离株SM24进行全基因组测序(见图4、5),获得其全基因组大小为4 865 511 bp,GC含量为51.96%?;蜃榘?个完整的细菌染色体序列和1个完整的质粒序列,其中染色体序列大小为4 700 467 bp,质粒大小为165 044 bp,质粒命名为pASM-1。质粒类型分析显示,pASM-1为IncHI2质粒,包含IncHI2和IncHI2A两个复制子?;蜃樾蛄泄灿? 635个编码蛋白的基因,含有108个非编码RNA序列,包括86个tRNA、8个5S rRNA、7个16S rRNA和7个23S rRNA,并且存在2个CRISPR元件(CRISPR1和CRISPR2)和10个前噬菌体序列。
2.6全基因组序列分析
2.6.1血清型比对与数据库注释
全基因组测序数据通过SeqSero 1.2数据库比对,显示分离株SM24的O抗原为O4,H1抗原为z,H2抗原为1,7,血清型确定为印第安纳沙门菌。对基因组序列进行数据库比对注释结果见表3,其中NR注释的序列为4 460条、GO注释的序列为2 762条、eggNOG注释3 809条、KEGG注释3 208条、Swiss注释3 809条、CARD注释144条、VFDB注释280条。
图4分离菌株SM24的基因组圈图
图5 pASM-1质粒结构圈图
表3基因功能注释统计条
2.6.2整合接合元件(ICE)预测
通过ICEfinder预测,在分离株基因组中存在一个ICE,位置在染色体2 684 249~2 727 127,大小为42 879 bp,预测为整合移动元件(IME),包含aatL和attR两个整合位点。
2.6.3 GO数据库注释
SM24分离株基因组的GO注释显示,共有2 762个基因序列获得注释,占总编码蛋白序列的59.59%。GO注释的基因包含三大分类和38个二级分类(图6),其中大类包括生物过程(biologicalprocess)、细胞组分(cellular component)和分子功能(molecular function),二级分类包括代谢过程(metabolic process)、生物黏附(biological adhesion)、胞内成分(intracelluar)、蛋白复合物(protien-con?taining complex)、催化活性(catalytic activity)、转运活性(transporter activity)等生命过程。
图6 SM24基因组序列GO功能分类图
2.6.4毒力基因分析
通过VFDB数据库比对分析,发现菌株SM24共注释到280个毒力基因,编码的产物主要参与分泌系统、菌毛黏附、铁摄取、免疫逃避等(图7)。其中与细菌分泌系统相关的注释基因共79条,占28.21%,主要包括毒力岛1(SPI1)和毒力岛2(SPI2)基因编码的Ⅲ型分泌系统(T3SS)以及由Hcp分泌岛1(HSI-I)和沙门菌中心岛(SCI)基因编码的Ⅵ型分泌系统(T6SS);与细菌黏附有关的菌毛黏附决定因素和运动性侵袭黏附相关毒力基因分别注释61条和46条,共占38.21%;铁摄取相关毒力基因注释了22条,其中包含典型的沙门菌素合成与转运基因(iroBCDEN)、肠杆菌素的合成(entABC?DEF)和转运(fepBCDG)相关毒力基因;编码脂多糖(lpxAC、gtrAB等)和荚膜等与免疫逃避的毒力基因有17条。除此之外,还有与细菌入侵(invAC、orgAB等)、黏附(fimACDFH)、营养因子(allAB?CDRS)等多种毒力相关基因。
图7 SM24分离株毒力基因统计
2.6.5耐药基因分析
通过CARD数据库比对,SM24株基因组序列中共辨别出144条耐药基因,其中133条位于细菌染色体上,11条位于pASM-1质粒上。所有耐药基因中,与多重耐药相关的基因为93条,占64.58%。对耐药机制分类发现,与抗生素外排泵相关基因有62条,与抗生素靶点改变的基因有53条,除此之外还有与抗生素失活(14条)、抗生素渗透性降低(9条)、抗生素靶点?;ず吞娲?各2条)等相关的耐药基因(图8)。IME和质粒等均属于细菌基因组可移动元件,常携带耐药基因,导致耐药性的快速传递。对SM24染色体上IME位点和pASM-1质粒上携带的耐药基因统计结果见表4。
染色体IME位点存在一个OmpK37耐药基因,其与耐头孢菌素类抗生素等多重耐药性有关;pASM-1质粒结构上携带与耐受四环素类(tetA、tetR)、磺胺类(sul1)、利福平类(arr-3)、氯霉素类(catB3)、头孢菌素类(OXA-1)、喹诺酮类(aac(6′)-Ib-cr)、氨基糖苷类(aac(3′)-Iid、aph(3)-Ia)、大环内酯类(mphA)和磷霉素类(FosA3)药物相关的基因。
图8 SM24分离株不同耐药机制耐药基因统计
表4 SM24染色体IME和pASM-1质粒携带的耐药基因
2.7比较基因组分析
菌株SM24和国内分离的6株鸡源印第安纳沙门菌参考基因组的共有和特有基因分析结果见图9A,7个菌株共有基因有3 856条,分离株SM24的特有基因最多为365条,广州分离株FJC33(CP041699.1)的特有基因有68条,江苏分离株YZ21MCS4(CP089313.1)和XZ14C1328(CP102827.1)分别拥有32和18条特有基因,四川分离株JT01(CP028131.1)和北京分离株D90(CP022450.1)均有1条特有基因,上海分离株SJTUF13520v2(CP041181.1)未见特有基因。菌株进化树构建结果显示(图9B),SM24菌株与国内其他地区分离的鸡源印第安纳沙门菌分离株不在同一进化分支,说明其与国内分离的6个参考菌株的遗传进化距离较远。注:?本研究分离菌株。
图9分离株SM24与参考菌株的共有和特有基因分析(A)和基因组进化树构建(B)
相关新闻推荐
2、肌苷对酸土脂环酸芽孢杆菌的生长抑制效果、对橙汁品质影响——摘要、材料与方法
3、铁皮、叠鞘石斛提取物对沙门氏菌生长状况、群体运动的影响——结论与讨论、结论
