超声波处理对谷氨酸棒状杆菌生长、形态、通透性的影响
为了提高菌株发酵的产量、质量以及安全性,我们提出了多种工艺强化的方法。在这里报道其中的一种,在分批补料发酵的同时,应用超声波对发酵液进行处理从而来提高谷氨酸棒状杆菌生产L-亮氨酸的能力。进一步采用响应面法对超声条件进行优化。在超声功率密度为94 W/L、频率为25kHz、间隔31min、持续时间为37s的条件下,谷氨酸棒状杆菌在44h生产了52.89g/L的L-亮氨酸,较对照组增加21.6%。超声波处理提高了L-亮氨酸的生产性能。此外,从细胞形态、细胞膜透性和酶活性等方面研究了超声波处理对L-亮氨酸发酵性能的影响。结果表明,超声波处理对于谷氨酸棒状杆菌生产L-亮氨酸是有效的。
研究内容
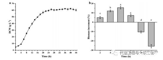
1.不同生长期超声处理对谷氨酸棒状杆菌生物量的影响
谷氨酸棒状杆菌的生长曲线如图a所示,作为识别不同生长期的基线数据。培养前4h为延滞期,培养后4h至20h为指数期,培养20h后进入稳定期。在进行发酵的同时应用超声波对发酵液进行处理,超声波处理时长分别为2、4、8、16、20和24h,超声波处理对谷氨酸棒状杆菌不同生长阶段的影响如图b所示。在滞后期和指数期开始时,生物量显著增加,在8h时,超声波处理的谷氨酸棒状杆菌的生长比对照增加了15.6%。超声处理在指数后期和稳定期会导致生物量显著下降。超声波对微生物有双重作用:对细胞生长的积极影响是可以提高酶的活性和营养物质的传质速率,而消极影响是应用超声波所产生的剪切力和自由基。不同生长阶段的细胞对超声波的耐受性不同。因此,后续实验选择以8h为指标进行超声处理。
2.超声参数对谷氨酸棒状杆菌生长的影响
不同功率和频率的超声在液体介质中产生稳定或瞬态的液体空化。瞬态空化发生在20-100 kHz的低频处,而超过200kHz的高频会导致稳定的空化,在高、低声压之间产生数千个振荡周期。为提高谷氨酸棒状杆菌的生物量积累,进行了单因素试验,研究了不同超声处理参数对谷氨酸棒状杆菌生长的影响。结果表明,在28kHz、100W/L的脉冲作用0.5h后,开、关时间分别为100s和10s时,肽含量和活细胞数量的增幅最大。
3.采用响应面分析法优化超声处理条件
在本研究中,通过回归分析发现四个自变量对超声处理下L-亮氨酸产量的影响呈线性关系。L-亮氨酸受超声功率密度、频率、间隔和持续时间(所有case的P<0.01)影响。功率密度与频率、功率密度与间隔、频率与间隔的交互作用具有统计学意义(P<0.05);而功率密度与持续时间、频率与持续时间、间隔与持续时间的交互作用不显著(P>0.05)。
结果利用超声功率密度为94.00W/L、频率为25.47kHz、间隔时间为31.13min、持续时间为37.04s的预测剖面模型得到了L-亮氨酸生产的最佳条件。在最佳超声处理条件下,L-亮氨酸的最大预测效价为53.36g/L。最终预测值与实验值之间的误差小于2%。
4.超声波处理对谷氨酸棒状杆菌细胞形态的影响
扫描电镜广泛用于评价微生物的表面特征、形态和超微结构。通过扫描电镜观察了超声处理对细胞形态的影响。谷氨酸棒状杆菌细胞呈典型的不对称杆状,但超声培养的谷氨酸棒状杆菌细胞较对照组呈现出不规则、细长以及肿胀。
5.超声波处理对细胞通透性的影响
为了确定超声处理是否影响谷氨酸棒状杆菌细胞膜的完整性,我们结合荧光显微镜使用了活性染色来进行观察。应用PI和SYTO9双染时,细胞膜完整的细胞显示绿色荧光,而受损的细胞膜允许PI流入,导致呈现红色荧光。如图所示,与未处理的对照组相比,超声下发出绿色荧光的细胞数量减少,而发出红色荧光的细胞数量增加。这说明超声波处理对谷氨酸棒状杆菌的细胞膜造成了一定程度的损伤。膜通透性的增加也会导致L-亮氨酸的胞内外排,从而减缓L-亮氨酸生物合成途径中关键基因的转录衰减和关键酶的反馈抑制。这是超声提高L-亮氨酸产量的原因之一。此外,稳定的微泡振荡还会导致H2O2和其其他活性氧的产生,进一步使脂质和膜蛋白过氧化。脂质和膜蛋白过氧化可能是膜通透性增加的原因之一。膜渗透性增强的另一个可能原因是空化,这直接导致了超声处理产生的力学效应。超声在物理和化学层面上都能增加细胞膜的通透性。
谷氨酸棒状杆菌最新研究进展
近期,在最近发表于《先进材料》(Advanced Materials)的论文中,研究人员发现了一种新的方法可以治疗因佩戴隐形眼镜而引起的干眼症,即在隐形眼镜中加入能够分泌润滑物质的细菌。
市面上有许多隐形眼镜中都添加了透明质酸,相比于眼药水,它们能更持久地缓解干眼症。德尔·坎波表示,眼药水的作用只能保持几分钟。
然而,含有透明质酸的镜片仍然不足以彻底解决这个问题。德尔·坎波指出,为了不影响隐形眼镜镜片的光学性能,厂家只能在其中添加少量的透明质酸,因此缓解效果最多只能维持几个小时。之后,使用者可能仍然需要眼药水。
能够分泌透明质酸的细菌可以补充透明质酸,或能为这个问题提供了解决方案?!跋妇置诘娜蠡粱崂┥⒌揭窝劬档谋砻??!钡露た膊ㄋ?,“尽管泪液会不断清除润滑剂,但是隐形眼镜表面具有自我更新功能,可以提供永久的润滑作用?!闭庋褂谜呔筒辉傩枰窝垡┧?,且可以较为舒适地配戴隐形眼镜更长时间。
研究中使用的是谷氨酸棒状杆菌(Corynebacterium glutamicum),这是一种天然存在于土壤的、无害的细菌,不会产生毒素。美国食品药品监督管理局(FDA)也认可对于人体来说,它是一种安全的细菌。
长期以来,谷氨酸棒状杆菌因合成氨基酸的能力而受到广泛关注。在工业领域,谷氨酸棒状杆菌用于合成生产食品调味料、防晒霜等一系列产品的原料。它也经过生物工程改造后,用于生产医疗和制药行业所需的氨基酸。德尔·坎波说:"它是生物技术生产中的主力军”。
研究人员在这项研究中选择谷氨酸棒状杆菌不仅因为它可以通过生物工程改造分泌透明质酸,还因为它和另一种棒状杆菌Corynebacterium mastitidis的亲缘关系很近,而后一种棒状杆菌是一种天然存在于人眼中的益生菌。
目前,市面上的隐形眼镜只能提供少量的透明质酸用来润滑,而谷氨酸棒状杆菌只要可以获得营养物质,就能不断制造透明质酸。
相关新闻推荐
1、转录组技术分析产紫篮状菌抑制尖镰孢菌生长的作用机制——讨论与结论
2、尼古丁、烟草浸出液、烟雾提取物对口腔常见微生物的影响(二)
3、化合物C6对鼠诺如病毒和李斯特菌的抗感染活性及细菌生长动力学分析(二)
