HMO高利用率菌株筛选方法及生长曲线绘制
人乳中的低聚糖(HMO)作为一种重要的益生元,对婴儿的健康有着独特的作用。2’-盐藻基乳糖(2’-FL)和乳糖-N-新四糖(LNnT)作为两种丰富的HMO,由于其对婴幼儿的独特益处和巨大的商业价值而越来越受到人们的关注。它们对婴儿具有优越的益生元特性,其他健康影响也得到了证实,包括免疫调节、抗炎、预防坏死性小肠结肠炎、抗粘附抗菌剂、抗病毒活性和促进肠上皮细胞成熟。安全性评估和临床试验表明,2’-FL和LNnT对婴儿是安全和耐受性良好的,已经在商业上作为婴儿配方奶粉的功能性成分添加。
婴儿的肠道微生物群通常富含双歧杆菌属,在不同的肠道微生物中,婴儿肠道相关双歧杆菌可以有效同化HMO。研究表明,HMO同化能力在不同的双歧杆菌种类和菌株之间有显著差异。因此,要真正最大限度地发挥益生元和益生菌补充剂在商品化配方中的作用,需要更详细地了解益生菌的HMO同化行为。
应用Biosense全自动生长曲线分析仪监测HMO利用菌株的生长过程,筛选的长双歧杆菌婴儿亚种dipro-F,dipro-15和dipro-105能够高效利用HMO。
1)分别将待测多株双歧杆菌活化得到种子液,然后将种子液离心后PBS洗涤重悬后得到细菌悬液,然后将细菌悬液1%-10%的体积百分比加入到含有溴酚甲紫的无碳源MRS+培养基中培养,以2’-FL和LNnT分别作为唯一碳源进行添加,然后以葡萄糖为阳性对照,以水为阴性对照,观察培养基颜色,菌株生长,则培养基颜色变黄,反之培养基颜色维持紫色,将获得的培养基颜色变黄对应的菌株初步判断为能够同时利用2’-FL和LNnT的菌株;
图为8株菌在三种碳源下的生长曲线;
图葡萄糖为碳源时,三株HMO利用菌株的生长曲线;
图以2’-FL为碳源时,三株HMO利用菌株的生长曲线;
图以LNnt为碳源时,三株HMO利用菌株的生长曲线。
2)使用步骤
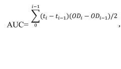
得到的菌株分别制备细菌悬液,将细菌悬液接种到含有无碳源MRS+培养基中,以2’-FL和LNnT分别作为唯一碳源进行添加,然后以葡萄糖为阳性对照,以水为阴性对照,根据取样时间次数,配置多个平行培养的菌,每隔几个小时测定OD600,绘制生长曲线,根据生长曲线计算曲线下面积AUC,根据AUC判断测试的不同菌株对不同碳源的利用率;AUC的公式如下:
其中,t为时间,0<i<48h,OD代表OD600值,当测试的菌株的AUC值大于标准菌株(M16V菌株)的10倍以上,即为HMO高利用率菌株。
其中,双歧杆菌包含短双歧杆菌、长双歧杆菌婴儿亚种、两歧双歧杆菌、假小链双歧杆菌、短双歧杆菌和动物双歧杆菌中的一种或多种。
其中,步骤1)无碳源MRS+培养基是在无碳源MRS培养基的基础上添加终浓度为0.5g/L半胱氨酸。
其中,无碳源MRS培养基包括如下组成:蛋白胨10.0g、酵母浸粉5.0g、牛肉膏10.0g、无水乙酸钠5.0g、无水磷酸氢二钾2.0g、柠檬酸氢二铵2.0g、七水硫酸镁0.58g、四水硫酸锰0.25g、吐温-80 0.1mL,加蒸馏水至1000mL,调整pH值至6.2~6.4,121℃灭菌15分钟。
其中,步骤1)和步骤2)中的葡萄糖、2’-FL和LNnT工作浓度均为2-20g/L。作为优选,工作浓度为10g/L。
其中,步骤1)中的细菌悬液的浓度为OD600=0.5-5。
其中,步骤2)细菌悬液的浓度为OD600=0.5-5。
基于上述筛选方法得到的高HMO利用率菌株。
结论:这种HMO高利用率菌株的高通量筛选方法,简单快捷,筛选一目了然,可以用于HMO为唯一碳源的利用率筛选,也可以用于其他碳源作为唯一碳源的利用率筛??;这种HMO利用率定量筛选的方法,避免了厌氧菌在生长曲线测定过程中反复取放引起氧气后对菌株生长造成的影响,为严格厌氧菌的生长曲线测定提供了一种可行的实验方案。筛选的长双歧杆菌婴儿亚种dipro-F,dipro-15和dipro-105能够高效利用HMO,相比市场所售的婴幼儿可食用名单菌株具有更优的HMO利用效率,经过全基因组测序确定了HMO利用机制,菌株经实验验证不存在安全隐患。
相关研究文章:三种HMO对益生菌和病原菌生长的影响
相关新闻推荐
2、基于革兰氏阳性菌生长曲线等指标评价纤维素基抑菌材料L-Met改性MCC(M-MCC)抑菌效果(三)
3、滇黄精水提物促进罗伊氏乳杆菌生长增殖和定植的作用机制(二)
